User Tools

Site Tools


gibson:teaching:fall-2014:math445:lab5

Math 445 Lab 5: Google Page Rank

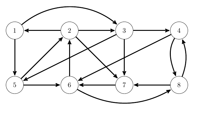
Problem 1: Compute the Google Page Rank for a very small network of links.

The following directed graph represents links between eight webpages:

Give the Page Rank of each page, and provide a list of the page indices sorted by their Page Ranks. You can refer to class notes or http://www.ams.org/samplings/feature-column/fcarc-pagerank for details of the Google Page Rank algorithm.

Hints

  • It's good to have a firm grasp on the mathematics before writing the code.
  • Write your code in a script file and run the script from within Matlab.
  • Use L = zeros(8,8) to allocate an 8 x 8 matrix of zeros, and then insert 1s at the required spots with statements like L(4,3) = 1.
  • Better yet, store the set of nonzero indices as a N x 2 matrix in a file links.asc, then load that matrix into Matlab with load links.asc, and then loop over the N rows of links and assign ones into the specified elements of L with L(links(n,2), links(n,1)) = 1 where n is the loop index.
  • The transition matrix T has a 1/n everywhere L has a 1, where n is the number of nonzero entries in the same column of L. Instead of calculating T yourself and typing it in, use Matlab to calculate it from L. Hints: s = sum(L) will give you an 8d row vector s whose elements are the sums of each of the eight columns of L. Then the jth column of T equals the jth column of L divided by s(j).

Problem 2: Compute the Google Page Rank for a network of 100 pages within www.unh.edu.

(a) Go to the website Numerical Computing with Matlab by Clive Moler and download the “surfer.m” program. Set M=100 and run the command [U,L] = surfer('http://www.unh.edu',M);. This might take a few minutes.

(b) After some time a vector U of websites will be generated and a matrix L of links will be generated. All the entries of L should be either 0 or 1. But L will have 100^2 == 10,000 entries, so you can't check this by eye. Write a short piece of Matlab code that double-checks that all entries of L are either 0 or 1.

(c) Now generate a T matrix as described in problem 1. You will probably run into an error in part 2, namely a webpage might contain no links or only links outside the set of pages we are working with. In that case we will just assume that the person randomly selects a new website among all the M pages in our set. Revise your calculation of T so that if a column of L sums to zero, then each of the entries in the same column of T is 1/M.

(d) Suppose that instead of always clicking on a random link within a page, a web surfer sometimes (with probability alpha) jumps to a random page chosen from all the pages in the network. We can model this behavior by modifying the transition matrix T as follows

G = (1-alpha) T + alpha 1/M;

where 1 is a matrix of ones. Rumor has it that Google uses alpha = 0.15, so use that value and calculate G.

(e) Double-check that the sum of each column of G is 1. Again, be clever and get Matlab to do the work, rather than listing out the sums of all the columns and verifying manually that each of the 100 numbers is 1!

(f) Let’s assume we start at the first webpage, p=zeros(N,1); p(1)=1;. If we applying G to p many times (say 1000 times), the resulting vector will give the probability that we end up on a particular website and after a long session of random web surfing. We can do this with a for-loop

N=100;
for n=1:N;
  p=G*p;
end

After that is complete the elements of p give the probabilities that a random web surfer will end up at the web pages listed in U, and you can rank the pages in U according to their probabilities in p. Look up the sort command in the Help menu and find a way to print the list of websites in order of their rank. Turn in the list of the top 10, the fraction of the time a random web surfer would spend in each one of those 10, and your code to complete the Lab.

(g) If you are interested: Our calculation involved two free parameters: the probability alpha of jumping to an entirely random page in the network, and N, the number that specifies the length of our long session of random web surfing. How robust is the page rank algorithm with respect to these two numbers? If you change alpha to 0.1 or 0.05, do the top 10 pages change? How about if you change N to 10^3 or 10^4?


Problem 3: Suppose that, instead of representing links between web pages, you have a directed graph that tells who likes whom among all students at UNH. You could then use the same algorithm to compute a numerical measure of each UNH student's likeability, and an overall ranking of the popularity of all UNH students.

What do you think of this proposal? Would the numerical values produced be meaningful measures of likeability or popularity? Why or why not? What does your answer here say about Google Page Rank as a method of ranking web pages?

I don't have a specific answer in mind here. Just be thoughtful and express yourself clearly.


Problem 4: This lab has mentioned three different algorithms for calculating the page rank. For this problem, you will compare the execution time T of these three algorithms as a function of M, the number of pages in your web of links. The end result will be a plot of execution time versus M, with three lines, one for each algorithm.

It will be easiest to do the comparisons if you convert your page rank script to a Matlab function and then write three different algorithms as three different versions of that function.

functionalgorithm
pagerank_fullpower matrix power method with full matrix
pagerank_fulliterate iterated matrix multiplication with full matrix
pagerank_sparseiterate iterated matrix multiplication with sparse matrix

1. matrix power method with full matrix

Write a Matlab function

function [i,p] = pagerank_fullpower(L);

that takes a matrix of links L as an input and returns the indices i of webpages sorted by their page ranks, and the page ranks p sorted the same way (so that p(1) >= p(2) etc).

To be sure that the function operates with full matrices, make this the first line of the function body

L = full(L);

Compute T and G as discussed above, and then compute the page rank G^N p by the straightforward Matlab code

N = 100;
p = G^N p;

2. iterated matrix multiplication with full matrix

Write a Matlab function

function [i,p] = pagerank_fulliterate(L);

just as before, except compute G^N p with the for-loop

N=100;
for n=1:N
  p = G*p
end

3. iterated matrix multiplication with sparse matrix

Write a Matlab function

function [i,p] = pagerank_sparseiterate(L);

that converts the input L to a sparse matrix in the first line with

L = sparse(L)

and computes G^N p with the for-loop

N = 100;
for n=1:N
  p = (1-alpha)*(T*p) + alpha*ones(M,1)/M;
end

or equivalently

N = 100;
one_alpha_T = (1-alpha)*T;
alpha_ones  = alpha*ones(M,1)/M;
for n=1:N
  p = one_alpha_T*p + alpha_ones;
end

Note that the sparse algorithm avoids the matrix of 1's that is present in the other two algorithms, because that matrix is necessarily full.

Now write a script that tests and times these algorithms on link matrices L of sizes M = 32, 64, 128, 256, …., up to whatever power of two your computer can handle. It's smart to develop and test your code on a smaller set of M, perhaps just M = 32, 64, 128. As a starting point, here's the code we developed in class to measure execution time of full versus sparse matrices.

% script to compare full versus sparse matrix multiplication
 
for n=1:12
 
  % set up random M x M Ax=b problem
  m = 2^n; 
  A = randomL(m);
  x = randn(m,1);
 
  % measure execution time of sparse matrix multiplication
  tic;
  b = A*x;   
  Tsparse(n) = toc;
 
  % measure execution time of full matrix multiplication
  A = full(A);
  tic;
  b = A*x;   
  Tfull(n) = toc;
 
  M(n) = m;
end  

You can use this Matlab function to produce synthetic data for testing any given value of M

function L = randomL(M);
% return random link matrix for testing pagerank algorithms
 
  maxlinks = 10;  % maximum of number of links per page
  L = sparse(M,M);
 
  for j=1:M                    
    i = randi(M, maxlinks, 1); % get vector of random numbers between 1 and M 
    for n = 1:maxlinks
      L(i(n),j) = 1;           % create links from page j to the random pages i
    end
  end
 
end

Produce a plot of execution time T versus M for each of your three pagerank functions using Matlab's tic and toc. From the plot, estimate the explicit function that relates T to M for each of the three algorithms.

Which algorithm is fastest? Why? How long do you estimate each algorithm would take to rank M=10^6 web pages? Provide your answer in easily understandable units of time (days, weeks, years, etc.)

gibson/teaching/fall-2014/math445/lab5.txt · Last modified: 2015/03/09 13:39 by gibson